Home / Publications / Photogalvanic and photon drag phenomena in superconductors and hybrid superconducting systems

Photogalvanic and photon drag phenomena in superconductors and hybrid superconducting systems

0
Share
Cite this
GOST
 | 
Cite this
GOST Copy
Mironov S. et al. Photogalvanic and photon drag phenomena in superconductors and hybrid superconducting systems // Mesoscience & Nanotechnology. 2025. Vol. 1. No. 2. 01-02004
GOST all authors (up to 50) Copy
Mironov S., Buzdin A., Zuev O., Kovalenko M., Mel'nikov A. Photogalvanic and photon drag phenomena in superconductors and hybrid superconducting systems // Mesoscience & Nanotechnology. 2025. Vol. 1. No. 2. 01-02004
RIS
 | 
Cite this
RIS Copy
TY - JOUR
DO - 10.64214/jmsn.01.02004
UR - https://jmsn.press/publications/10.64214/jmsn.01.02004
TI - Photogalvanic and photon drag phenomena in superconductors and hybrid superconducting systems
T2 - Mesoscience & Nanotechnology
AU - Mironov, Sergey
AU - Buzdin, Alexander
AU - Zuev, Oleg
AU - Kovalenko, Mariia
AU - Mel'nikov, Alexander
PY - 2025
DA - 2025/12/13
PB - Treatise LLC
SP - 01-02004
IS - 2
VL - 1
ER -
BibTex
 | 
Cite this
BibTex (up to 50 authors) Copy
@article{2025_Mironov,
author = {Sergey Mironov and Alexander Buzdin and Oleg Zuev and Mariia Kovalenko and Alexander Mel'nikov},
title = {Photogalvanic and photon drag phenomena in superconductors and hybrid superconducting systems},
journal = {Mesoscience & Nanotechnology},
year = {2025},
volume = {1},
publisher = {Treatise LLC},
month = {Dec},
url = {https://jmsn.press/publications/10.64214/jmsn.01.02004},
number = {2},
doi = {10.64214/jmsn.01.02004}
}
MLA
Cite this
MLA Copy
Mironov, Sergey, et al. “Photogalvanic and photon drag phenomena in superconductors and hybrid superconducting systems.” Mesoscience & Nanotechnology, vol. 1, no. 2, Dec. 2025, pp. 01-02004. https://jmsn.press/publications/10.64214/jmsn.01.02004.
Views / Downloads
248 / 158

Keywords

Inverse Faraday effect
Photogalvanic phenomena
Photon drag effect
Superconductivity
Time-dependent Ginzburg-Landau theory

Abstract

In this paper we review recent progress in the theoretical understanding of the peculiarities of photogalvanic phenomena, photon drag, and the inverse Faraday effects in superconductors and hybrid superconducting structures. Our study is based on the time-dependent Ginzburg-Landau theory with a complex-valued relaxation constant, which provides the simplest description of the mechanisms of the second-order nonlinear effects in the electrodynamic response and related mechanisms for the generation of dc photocurrents and magnetic moment, as well as switching between different current states under the influence of electromagnetic radiation of various polarizations.

1. Introduction

Different aspects of nonlinear electrodynamics of superconductors have attracted the interest of both experimentalists and theoreticians for many decades. These studies revealed a number of fascinating physical phenomena and suggested various directions for applications. Most of these phenomena arise from the obvious fact that the superfluid density is partially suppressed by the supercurrents induced by the electromagnetic wave, and the modulation of this quantity results in nonlinear corrections to the microwave response that are odd in the amplitude of the electromagnetic signal. The simplest example is the third-order nonlinearity, which is responsible for the generation of the third harmonic in the supercurrent and can be obtained already within the Ginzburg-Landau (GL) formalism. Much less is known about the electrodynamic response of superconducting condensates containing the even-order terms in the wave amplitude. Meanwhile, such nonlinearities can be not only exceptionally interesting from the fundamental point of view but also provide a very promising route to a number of applications in superconducting optoelectronics or optofluxonics. The goal of our recent works[1-8] has been to fill this gap and provide a theoretical description of possible nonlinear effects originating from the second-order nonlinear response in superconducting materials and hybrid structures.

In general, even-order nonlinearities in the electrodynamic response can give rise to two experimentally measurable effects[9-21]: (i) generation of even harmonics of the primary wave frequency, (ii) generation of a rectified dc current. At this point, it is useful to note an important difference between the photogalvanic phenomena in normal and superconducting systems related to the dissipationless nature of supercurrents. Indeed, dc photocurrents generated by an electromagnetic pulse in a nonsuperconducting material should decay within a certain characteristic time after switching off the pulse due to Ohmic losses. In superconducting systems these currents can in principle persist even without a supporting primary electromagnetic wave, which in this case plays the role of trigger switching the superconductor between different current-carrying states. Certainly, such switching can occur only under appropriate conditions, and the resulting stable current states must be protected from relaxation processes. An obvious way to realize this protection is to switch between superfluid states, that differ by their topology. A well-known example of such a topologically protected state in superfluid systems is a state with nonzero vorticity or winding number. In other words, photoinduced currents in superconductors can in principle be used to create and switch vortex configurations[2, 22, 23]. This possibility looks very tempting as it provides an alternative to the switching by magnetic field being at the same time faster and, thus, more perspective for any logic based on manipulation of fluxons such as rapid single-flux quantum (RSFQ) logic[24].

Hereafter, we focus on the simplest, lowest-order nonlinearity of the material, namely on the current contribution that is the second order in the electric field of the incident electromagnetic wave. In terms of complex-valued Fourier components a general expression describing the linear and second-order nonlinear response in a conducting medium takes the form:

\[ \begin{equation} j^{\,}_n = \sigma^{\,}_{nm}E^{\,}_m e^{i(\mathbf{k}\mathbf{r}-\omega t)}+ \zeta^{\,}_{nml}E^{\,}_m E^*_l + \tilde\zeta^{\,}_{nml}E^{\,}_m E^{\,}_l e^{2i(\mathbf{k}\mathbf{r}-\omega t)}, \end{equation} \]

where \( j^{\,}_n \) and \( E^{\,}_{n} \) are the current density and electric field components (here \( n=x,y,z \)); \( \sigma^{\,}_{nm} \) is the conductivity tensor; \( \zeta^{\,}_{nml} \) and \( \tilde\zeta^{\,}_{nml} \) are the third-rank tensors describing the dc and second harmonic contributions to the nonlinear response; repeated indices imply summation. Considering the mechanisms responsible for a nonzero tensor \( \zeta^{\,}_{nml} \), we can first mention media with a certain polar vector \( {\bf d} \) that breaks material isotropy. In this case, the tensor can be written as follows:

\[ \begin{equation} \zeta^{\,}_{nml}= C^{\,}_1 d^{\,}_n\delta^{\,}_{ml}+ C^{\,}_2 \delta^{\,}_{nm} d^{\,}_l, \end{equation} \]

where \( \delta^{\,}_{ml} \) is the Kronecker symbol, \( C^{\,}_1 \) and \( C^{\,}_2 \) are material-dependent constants. We get here an example of a material with an intrinsic diode effect, or nonreciprocal electromagnetic response. In nonsuperconducting materials these phenomena are well known to manifest itself, \( e.g. \), in the linear dependence of resistivity on the applied electric field or current density and thus in the obvious asymmetry of the current-voltage characteristics. Generalizing the above expressions to the case of superconductors, we can expect that the corresponding superconducting diode effect should result in asymmetry in the nonlinear relation between the current density and the superfluid velocity, as well as in the directional dependence of the critical depairing current destroying the superconducting state. The manifestations of the diode effect in different superconducting hybrid systems have been discussed for several decades for Josephson junctions[25], ratchet-type pinning[26] \( etc. \), and recently revisited in connection with experiments on multilayers[27] (see also Ref.[28] for review). One of the popular scenarios for the intrinsic diode effect relates to the so-called magnetochiral anisotropy arising in the presence of both spin-orbit and Zeeman-type effects in low-dimensional proximitized systems. In this case, the above polar vector takes the form of a vector product of the Zeeman (or exchange) field and a vector perpendicular to the interface of materials in the layered structure, originating from the Rashba-type expression for the interface spin-orbit interaction[29-34]. Another exemplary mechanism responsible for the appearance of the second-order nonlinear response can originate from the wave vector \( \mathbf{k} \) of the electromagnetic radiation, and the appropriate tensor takes the form: \( \zeta^{\,}_{nml}= W^{\,}_{nmls} k^{\,}_s \). Such expressions are typical for systems revealing the so-called photon drag effect, caused by the transfer of momentum from the electromagnetic radiation to the electrons. Circular polarization of light provides another interesting version of the second-order nonlinear phenomenon associated with the transfer of angular momentum and the resulting inverse Faraday effect, predicted first by L. P. Pitaevsky[35]. In the latter case, the incident electromagnetic wave generates a magnetic moment determined by the helicity of the radiation.

We now briefly discuss one important peculiarity of the superconducting systems, which strongly affects the physics of electromagnetic response and, in particular, the nonlinear effects. The point is that in a superconducting material we have two different types of carriers responsible for the flowing charge current: Cooper pairs and quasiparticles. Both types of charged fluids are affected by the applied electric field and by the gradients of their chemical potentials. In a normal metal with a single type of charge carriers the presence of the gradient of chemical potential generates a diffusion current, which can be added to the current generated by the electric field, resulting in the total electrochemical field that moves electrons. It is this field that in fact enters the above expressions for current in a normal metal.

In a system with two types of carriers, the chemical potentials in a nonequilibrium transport state can be different, so we can no longer introduce a single electrochemical field acting on all carriers. This is why in superconductors it is convenient to introduce two sources of current: (i) an electrochemical field accounting for the gradient of chemical potential of quasiparticles, and (ii) the gradient of the difference between the chemical potential of quasiparticles and Cooper pairs, denoted as \( \tilde\Phi \). The latter quantity, also known as the charge imbalance potential, is nonzero in many problems of nonequilibrium superconductivity. Thus, when considering nonlinear effects, we should now take an additional mechanism of nonlinearity into account and rewrite the expressions for the current to include both the fields \( \mathbf{E} \) and \( \nabla\tilde\Phi \).

Another important peculiarity of superconductors is that the dc photocurrents generated according to any of the above mechanisms can be screened by supercurrents flowing at zero frequency. These currents can flow in the opposite directions and consist of two contributions: one from the vector potential, which gives the Meissner screening, and another from the gradient of the superconducting phase, which is needed to guarantee the current continuity condition.

Note also that all photogalvanic and photon drag phenomena discussed above persist at temperatures slightly above the critical temperature due to the presence of superconducting fluctuations. Some examples of microscopic and phenomenological models treating this situation can be found in Refs.[36-40].

After these brief introductory notes we proceed with the discussion of several particular scenarios illustrating generation of the dc supercurrents by the electromagnetic wave.

2. Photogalvanic phenomena in superconducting hybrids with the diode effect

A universal description of the intrinsic diode phenomena in the superconducting state can be obtained within a modified version of the phenomenological GL theory. The presence of a preferable current direction can be accounted in this theory by introducing the terms odd in the spatial derivatives of the order parameter into the GL functional. To specify the form of these terms it is convenient to keep in mind some particular scenario of the nonreciprocal effects. As such a scenario, we choose here a bilayer structure consisting of a thin superconducting film covered by a magnetic material. The latter is assumed to be responsible for an exchange field acting on the spins of the superconducting electrons. This spin-splitting field can in principle be momentum-dependent, either due to the spin-orbit effects at the sample interface or due to the nontrivial spatial symmetry of the orbitals with ordered localized spins in the magnetic layer, which appears, \( e.g. \), in altermagnetic materials. To guess the form of the gradient terms in the effective GL functional averaged over the bilayer thickness, it is instructive to start from the averaged single-particle Hamiltonian, omitting first the attraction between electrons:

\[ \begin{multline} \hat{H} = \frac{\hat{{\bf p}}^2}{2m^{\,}_e} + \hat{\sigma}^{\,}_n h^{\,}_n + \alpha^{\,}_{nm} \hat{\sigma}^{\,}_n \hat{p}^{\,}_m + \gamma^{\,}_{nmsl}\hat{\sigma}^{\,}_{n} \hat{p}^{\,}_{m} \hat{p}^{\,}_{s} \hat{p}^{\,}_{l} +\tilde h^{\,}_{nms}\hat{\sigma}^{\,}_{n} \hat{p}^{\,}_{m} \hat{p}^{\,}_{s}, \end{multline} \]
(1)

where \( \hat{\bf p} \) and \( m^{\,}_e \) are the electron momentum and mass, respectively; \( \hat{\sigma}^{\,}_{n} \) with \( n=x,y,z \) are the Pauli matrices, and the summation over the repeated indices is assumed. The field \( {\bf h} \) is the standard exchange field, the tensor \( \alpha^{\,}_{nm} \) describes terms linear in the electron momentum and thus can correspond, \( e.g. \), to the Rashba spin-orbit coupling at the interface (for \( \alpha^{\,}_{nm}=\alpha n^{\,}_{0s}\epsilon^{\,}_{snm} \) with the Levi-Civita tensor \( \epsilon^{\,}_{snm} \) and the unit vector {\( {\bf n}^{\,}_0 \)} normal to the interface). The tensors \( \gamma^{\,}_{nmsl} \) and \( \tilde h^{\,}_{nms} \) describe the momentum dependence of the exchange field mentioned above. The GL free energy for a singlet pairing can not depend of course on the spin operator, and when constructing the GL functional, one should replace the electronic spin in the above Hamiltonian with the averaged spin polarization induced by one of the spin-splitting fields. Thus, the recipe to get the relevant GL gradient terms should look as follows: take all possible products of different pairs of spin-splitting fields in the above Hamiltonian (1) and replace the momentum \( \hat{\bf p} \) by the gradient of the GL order parameter, elongated by the vector potential to guarantee gauge invariance. Finally, we obtain the following possible contributions to the odd-gradient part of the free energy density:

\[ \begin{equation} F^{\,}_1 \sim f^{\,}_1\Psi^*\alpha^{\,}_{nm} h^{\,}_{n} \hat{D}^{\,}_{m} (1+{\eta} \hat{\bf D}^2) \Psi, \end{equation} \]
(2)

\[ \begin{equation} F^{\,}_2\sim f^{\,}_2\Psi^*\gamma^{\,}_{nmsl} h^{\,}_{n} \hat{D}^{\,}_{m} \hat{D}^{\,}_{s} \hat{D}^{\,}_{l}\Psi, \end{equation} \]
(3)

\[ \begin{equation} F^{\,}_3\sim f^{\,}_3\Psi^*\alpha^{\,}_{nm} {\tilde h}^{\,}_{nsl} \hat{D}^{\,}_{m} \hat{D}^{\,}_{s} \hat{D}^{\,}_{l} \Psi, \end{equation} \]
(4)

where \( \hat{\bf D} = -i\hbar\nabla - 2e\mathbf{A}{/c} \) {is the gauge-invariant momentum operator} ({here} \( e < 0 \)). The term \( F^{\,}_1 \) describes the joint effect of the Rashba spin-orbit term and exchange field, \( F^{\,}_2 \) describes the structure with higher-order momentum-dependent spin-orbit interaction and exchange field, and \( F^{\,}_3 \) corresponds to the Rashba-type coupling in the bilayer with a \( d \)-wave altermagnetic material.

The expressions (2)-(4) have been constructed based solely on symmetry arguments, namely from the fact that all contributions to the free energy should be scalars and thus the related gradient terms should be proportional to scalar products of different momentum-dependent exchange field terms in Eq. (1). This line of symmetry-based reasoning cannot, of course, exclude the dependence of the prefactors \( f^{\,}_1 \), \( f^{\,}_2 \), \( f^{\,}_3 \) in expressions (2)-(4) on the convolutions of the tensors entering the Eq. (4). The full expressions for the coefficients in (2)-(4) can be obtained only on the basis of microscopic theory. To illustrate the possible nonlinear dependence of the prefactors on the tensor convolutions, one can consider, \( e.g. \), a direct derivation of the invariant \( F^{\,}_1 \) presented in Ref.[41]. For this purpose, we should restrict ourselves to the first three terms in the Eq. (1) and exploit a standard Gor'kov mean-field approach, which gives us the self-consistency equation for the superconducting gap:

\[ \begin{equation} \Delta^*({\bf r}) = g T\sum_{\omega_n} \text{Tr} \left[\hat{\sigma}_+ \hat{F}^\dagger({\bf r},{\bf r})\right], \end{equation} \]
(5)

where \( g \) is the BCS coupling constant, \( T \) is the system temperature, \( \hat{\sigma}_+=(\hat{\sigma}_x+i\hat{\sigma}_y)/2 \) is the combination of the Pauli matrices in the spin space, and \( \hat{F}^\dagger \) is the anomalous Green function, which should be obtained from the Gor'kov equations (see Ref.[41]). To get the gradient terms in the Ginzburg-Landau equation, it is sufficient to expand Eq. (2) up to terms linear in \( \Delta \):

\[ \begin{equation} L^{-1}({\bf q})\Delta^*({\bf q})=0, \end{equation} \]

where the propagator reads as

\[ \begin{multline} L^{-1}=\frac{1}{g} + {-2mm} T\sum\int\limits_{\omega_n, {\bf p}} \text{Tr} \left[ \hat{\sigma}_+ \hat{\bar{G}}_{0}\left({\bf p}-\frac{{\bf q}}{2}\right)i\hat{\sigma}_2\hat{{G}}_0\left({\bf p}+\frac{{\bf q}}{2}\right)\right]. \end{multline} \]
(6)

Choosing the particular configuration of the quantization axis as \( {\bf h} \| {\bf x}^{\,}_0 \) and \( {\bf n}^{\,}_{0} \|{\bf z}^{\,}_0 \) we get

\[ \begin{eqnarray} \hat{G}_0({\bf p}) = \frac{1}{D_0} \left(% \begin{array}{cc} i\omega^{\,}_n-\xi^{\,}_p & h-\alpha (p^{\,}_y+ip^{\,}_x) \\ [1mm] h- \alpha (p^{\,}_y-ip^{\,}_x) & i\omega^{\,}_n-\xi^{\,}_p \end{array}% \right), \end{eqnarray} \]
(7)

where \( D^{\,}_0=(i\omega^{\,}_n-\xi^{\,}_p)^2-h^2-\alpha^2 p^2+2\alpha h p^{\,}_y \); the normal-metal spectrum is \( \xi^{\,}_p=p^2/(2m^{\,}_e)-\mu \); \( \mu \) is the chemical potential; and \( {\bf p}=(p^{\,}_x, p^{\,}_y) \) is the momentum vector. To restore the GL free energy functional we should expand Eq. (6) in powers of momentum \( q \) and multiply \( L^{-1} \) by \( |\Delta({\bf q})|^2 \). For a weak Zeeman field, namely \( h<\alpha p^{\,}_F\ll T^{\,}_{c} \) (here \( T^{\,}_{c} \) is the critical temperature of the superconductor), we find

\[ \begin{multline} F^{\,}_{\rm S} = \left(a^{\,}_0+ a^{\,}_{h} {\bf h}^2 + {\bf q} [{\bf n}^{\,}_{0}\times{\bf h}^{\,}_{\|}] \big(a^{\,}_1+a^{\,}_3 {\bf q}^2\big)+ \right. \left. a^{\,}_2{\bf q}^2 + a^{\,}_4 {\bf q}^4\right) \Delta^2, \end{multline} \]
(8)

where \( {\bf h}^{\,}_{\|} \) is the in-plane component of the Zeeman field, the coefficients read

\[ \begin{equation} a^{\,}_0=N(0) \ln\left(\frac{T}{T^{\,}_{c}}\right), \end{equation} \]

\[ \begin{equation} a^{\,}_1 = \alpha C^{\,}_\alpha\,\frac{\zeta(5)}{32\pi^4} \frac{N(0)}{T_{c}^2}, \end{equation} \]

\[ \begin{equation} a^{\,}_2 = \frac{7\zeta(3)}{32\pi^2} \frac{v_F^2{N(0)}}{T_{c}^2}, \end{equation} \]

\[ \begin{equation} a^{\,}_3 = - \alpha C^{\,}_\alpha\, \frac{1905\zeta(7)}{2048\pi^6} \frac{v_F^2 N(0)}{T_{c}^4}, \end{equation} \]

\[ \begin{equation} a^{\,}_4 = -\frac{93\zeta(5)}{2048\pi^4} \frac{v_F^4 N(0)}{T_{c}^4}, \end{equation} \]

\begin{equation} a^{\,}_{h} = N(0) \left(\frac{7\zeta(3)}{4\pi^2 T^2_{c}} - \frac{31\zeta(5)}{32\pi^4}\frac{\alpha^2 p_F^2}{T^4_{c}} \right)+\mathcal{O}\left(\frac{h^2}{T^2_{c}}\right), \end{equation}

the value \( C^{\,}_\alpha \) is defined as \( C^{\,}_\alpha=\alpha^2p_F^2/T_{c}^2 \), and \( N(0) \) is the density of states at the Fermi level. Replacing now \( {\bf q} \) with the operator \( \hat{\bf D} \) and keeping in mind that \( \Delta\propto\Psi \), one can easily restore the form of the gradient terms in Eq. (2). Clearly, the above derivation shows that the coefficient \( f^{\,}_1 \) depends quadratically on \( \alpha \) in the considered model and parameter range. Note that similar results have been previously obtained in Refs.[31, 42]. Interestingly, in the strong spin-orbit coupling (SOC) regime the dependence of the coefficient \( f^{\,}_1 \) on \( \alpha \) disappears[31, 42].

Using now the London-type model, \( i.e. \), neglecting changes in the absolute value of the order parameter, and introducing the superconducting phase \( \chi \) and the superfluid velocity

\[ \begin{equation} {\bf v} = \frac{\hbar}{2m} \left(\nabla\chi - \frac{2e}{\hbar c} {\bf A}\right), \end{equation} \]
(9)

we find the analogue of the above nonlinear expression for the current:

\[ \begin{equation} j^{\,}_n = Q^{\,}_{nm}v^{\,}_{m} e^{i({\bf k}\cdot {\bf r}-\omega t)}+ R^{\,}_{nml}v^{\,}_{m} v^*_{l} + \tilde R^{\,}_{nml}v^{\,}_{m} v^{\,}_{l} e^{2i({\bf k}\cdot {\bf r} - \omega t)}. \end{equation} \]

Note that here we have shifted the superfluid velocity (in other words, the phase gradient) to exclude an additional term linear in \( v \) that appears in the expression for the value \( F^{\,}_1 \), so that the free energy minimum corresponds to zero velocity \( v \).

To apply this expression for the analysis of nonlinear electrodynamics and related nonreciprocal phenomena, we can consider a superconducting film of the thickness \( d^{\,}_s \) irradiated by a linearly polarized electromagnetic wave with a wave vector perpendicular to the film surface. The thickness \( d^{\,}_s \) is assumed to be much larger than the interatomic distance to ensure full electromagnetic wave reflection but, at the same time, much smaller than the London penetration depth. The latter condition allows us to neglect the spatial distribution of the optically induced electric current across the film. For further calculations, it is convenient to consider the magnetic field of the incident wave in the plane of the film in the form \( {\bf B}={\rm Re}\left({\bf B}_\omega e^{-i\omega t}\right) \), where \( {\bf B}^{\,}_\omega \) is the complex-valued amplitude of the wave and \( \omega \) is the wave frequency. Then integrating the Maxwell equation for \( {\rm curl}~{\bf B} \) over the film thickness we get:

\[ \begin{equation} 2\left({\bf n}^{\,}_{0}\times {\bf B}^{\,}_\omega\right)=\frac{4\pi}{c}{\bf j}^{\,}_{\omega}d^{\,}_s, \end{equation} \]
(10)

where \( {\bf j}^{\,}_{\omega} \) is the complex amplitude of the supercurrent at the frequency \( \omega \), and the factor \( 2 \) on the l.h.s. of Eq. (10) accounts for the doubling of the amplitude of the magnetic field at the sample boundary due to the full reflection of the incident wave. Considering the problem perturbatively, we can express the superfluid velocity amplitude at the frequency of the incident wave from the relation \( j^{\,}_{n\omega} = Q^{\,}_{nm}v^{\,}_{m\omega} \) and substitute it into the expression for the rectified current \( j^{\,}_{n,dc}= R^{\,}_{nml}v^{\,}_{m\omega} v^*_{l\omega} \). Further solution strongly depends on the proposed experimental setup and resulting boundary conditions. Indeed, if the irradiated sample is not included into the closed superconducting loop that would allow to get a circulating nonzero current, the dc photocurrent (given by the second term in the above expression) cannot flow through the sample edges. The continuity of the current in this case requires the generation of a dc phase gradient that would compensate the dc photocurrent, and as a result, we obtain a nonzero phase difference at the edges of the sample. Thus, we get a superconducting phase battery[43, 44]. Assuming, for simplicity the tensor \( Q^{\,}_{nm} \) to be diagonal, we find the resulting phase difference in the form: \( \delta\chi\sim R_{nml}v_{m\omega} v^*_{l\omega} \sim R^{\,}_{nml}j_{m\omega} j^*_{l\omega} \).

If, on the contrary, the sample is part of a closed superconducting contour, the dc photocurrent generates the circulating supercurrent and the flux in this loop, and by changing the amplitude of the electromagnetic wave we can observe vortex entry/exit (see Ref.[7]. for details).

3. Charge imbalance potential as the source of photogalvanic and drag phenomena

Let us now switch to another mechanism responsible for the second-order nonlinear response in superconductor mentioned in the introduction, \( i.e. \), to the effects caused by the generation of the charge imbalance potential. The kernel \( Q \) in the relation between the supercurrent and superfluid velocity should depend on the chemical potential \( \mu \). Expanding this kernel up to the linear correction to \( \mu \), we find:

\[ \begin{equation} {\bf j} =Q(\mu) {\bf v} +\frac{\partial Q}{\partial \mu} e\tilde\Phi {\bf v}. \end{equation} \]
(11)

The second term here obviously gives us the desired nonlinearity, since the potential \( \tilde\Phi \) is also generated by the electromagnetic wave. Note that we omit here possible contribution to the photon drag phenomenon associated with small changes in the total electronic density due to the electric field effect[45].

More careful calculations can be carried out within the time-dependent GL theory. The dynamics of the superconducting order parameter \( \Psi \) at temperatures \( T \) near \( T^{\,}_c \) is described by the equation

\[ \begin{equation} \frac{\pi\alpha^{\,}_{0}}{8}{\left(1+i\nu\right)} \left(\hbar\frac{\partial\Psi}{\partial t}+ 2ie\phi\Psi\right)=-\frac{\delta F}{\delta \Psi^*}, \end{equation} \]
(12)

where \( F \) is the GL free energy

\[ \begin{multline} F=F^{\,}_N+ \int\left[-\alpha^{\,}_{0} T^{\,}_c\varepsilon\left|\Psi\right|^2+\frac{1}{4m^{\,}_{0}}\left|{\bf D}\Psi\right|^2+\beta^{\,}_{0}\left|\Psi\right|^4\right]d^3{\bf r}. \end{multline} \]
(13)

Here \( F^{\,}_N \) is the system free energy in the normal state, \( \alpha^{\,}_{0} \) and \( \beta^{\,}_{0} \) are the standard GL coefficients, \( \xi^{\,}_0 \) is the superconducting zero-temperature coherence length, \( m^{\,}_{0} = \hbar^2/(4\alpha^{\,}_{0} T^{\,}_c \xi_0^2) \), \( \varepsilon=1-T/T^{\,}_c \), \( \phi \) is the electrochemical potential of quasiparticles. The key ingredient of Eq. (12) is the imaginary part {\( \nu \)} of the GL relaxation constant that arises due to the small electron-hole asymmetry and is responsible for the photon drag phenomena[46, 1-3, 5-8]. To make the physics beyond these phenomena more transparent we explicitly introduce the real-valued gap function \( \Delta \) and the superconducting phase \( \chi \) so that \( \Psi=\Delta e^{i\chi} \). Then the superconducting current \( {\bf j}^{\,}_s \) reads

\[ \begin{equation} {\bf j}^{\,}_s=2e\Delta^2 {\bf v}, \end{equation} \]
(14)

where \( {\bf v} \) is the superfluid velocity, see Eq. (9). The dynamics of \( \Delta \) is controlled by the real part of the GL equation (12):

\[ \begin{multline} \frac{\pi\alpha^{\,}_{0}}{8}\hbar\frac{\partial\Delta}{\partial t}-\left(\alpha^{\,}_{0} T^{\,}_c\varepsilon-m^{\,}_{0}{\bf v}^2\right)\Delta - \frac{\hbar^2}{4m^{\,}_{0}}\nabla^2\Delta+\beta_{0}\Delta^3={\frac{\pi\alpha^{\,}_0}{4}\nu} e \tilde\Phi \Delta, \end{multline} \]
(15)

where the charge imbalance potential \( \tilde\Phi=\phi-\mu^{\,}_p \) is the difference between the chemical potential of quasiparticles \( \phi \) and the chemical potential of Cooper pairs \( \mu^{\,}_p=-\left(\hbar/2e\right)\partial\chi/\partial t \). In the absence of the electron-hole asymmetry (at \( {\nu}=0 \)), the superconducting current contains only contributions that are odd with respect to the superconducting velocity \( v \). The even contributions may arise only provided (i) \( {\nu}\neq 0 \), and (ii) the electromagnetic field of the incident wave induces oscillations of the potential \( \tilde\Phi \), which, according to Eq. (12), then become transformed into oscillations of the gap function \( \Delta \). Note that the second condition is fulfilled only if the electric field \( {\bf E} \) of the wave has a component perpendicular to the sample surface. To show this, we derive the equation for \( \tilde\Phi \), which directly follows from the imaginary part of the GL equation (12) and the Maxwell equation

\[ \begin{equation} {\rm curl}~{\bf B}= \frac{4\pi}{c} {\bf j}+ \frac{1}{c} \frac{\partial {\bf E}}{\partial t}, \end{equation} \]

where \( {\bf B}={\rm curl}~{\bf A} \) is the magnetic field and \( {\bf j} \) is the total current containing both normal and superconducting components: \( {\bf j}=\sigma {\bf E}+{\bf j}^{\,}_s \) (here \( \sigma \) is the normal-state conductivity of the superconductor). Restricting ourselves to the contributions of the first-order in the small parameter \( {\nu} \) in the final expressions for the current, we neglect the deviation of the gap function from the equilibrium value \( \Delta^{\,}_0=\sqrt{\left(\alpha^{\,}_{0} T_c/\beta_{0}\right)\varepsilon} \) when dealing with the equation for \( \tilde \Phi \) and, therefore, assume the London penetration depth \( \lambda=\sqrt{m^{\,}_{0}c^2/\left(8\pi e^2\Delta_0^2\right)} \) to be constant. Considering \( e^{-i\omega t} \) processes and taking into account that \( {\bf E}=-\nabla \phi-\left(1/c\right)\partial {\bf A}/\partial t \), we rewrite the expression for the supercurrent (14) in a more convenient form

\[ \begin{equation} {\bf j}^{\,}_s=\frac{ic^2}{4\pi\omega\lambda^2}\left({\bf E}+\nabla \tilde\Phi\right). \end{equation} \]
(16)

Finally, substituting this expression into the above Maxwell equation, taking the divergence of the result, and combining it with imaginary part of the GL equation (12), we find

\[ \begin{equation} l_\Phi^2\nabla^2\tilde\Phi=\tilde\Phi, \end{equation} \]
(17)

where \( 1/l_\Phi^{2}= 1/l_E^{2}-i\omega\tau/\xi^2 \), \( l_E=\sqrt{\hbar\sigma/\left(\pi e^2\alpha_{0}\Delta_0^2\right)} \) is the typical scale of conversion between superconducting and normal currents, \( \tau=\pi\hbar/\left(8T^{\,}_c\varepsilon\right) \) is the characteristic timescale of the GL theory, and \( \xi=\sqrt{\hbar^2/\left(4m^{\,}_{0}\alpha^{\,}_{0} T^{\,}_c\varepsilon\right)} \) is the superconducting correlation length. The obtained equation for the charge imbalance potential \( \tilde \Phi \) does not contain sources. At the same time, the superconducting current (16) should not have a component perpendicular to the sample surface, which means that the presence of the corresponding component in the field \( {\bf E} \) of the incident wave gives rise to a nonzero gradient \( \nabla\tilde\Phi \) and, thus, induces the spatial oscillation of the gap potential \( \Delta \) controlled by Eq. (15).

The further details of the photocurrent generation depend on the sample geometry as well as on the angle of incidence and the polarization of the electromagnetic wave. For illustration, below we consider three situations, namely, (i) the photon drag effect arising in a superconducting half-space under the influence of a wave with the linear \( E \) polarization, (ii) the inverse Faraday effect in a superconducting disk radiated by the circularly polarized light, and (iii) photogalvanic phenomena originating from the interaction of a superconductor with structured light.

Photon drag effect in superconducting half-space

Here we consider a superconductor occupying the half-space \( z>0 \) and irradiated by an electromagnetic wave of the \( E \)-polarization[6]. The magnetic field outside the superconductor (for \( z<0 \)) reads

\[ \begin{equation} B^{\,}_y = B^{\,}_0 e^{-i\omega t+ik \sin\theta x}\left(e^{ik\cos\theta z}+r e^{-ik\cos\theta z}\right), \end{equation} \]
(18)

where \( k=\omega/c \), \( B_0 \) is the amplitude of the incident wave, \( \theta \) is the angle of incidence, which we assume to be not very large, and \( r \) is the complex reflection coefficient. For simplicity we restrict ourselves to the low-frequency limit assuming that (i) \( \omega\ll 4\pi\sigma \) so that we may put \( r\approx 1 \), (ii) the wavelength is much larger than both the skin-layer depth and the London penetration depth

\[ \begin{equation} \left(\frac{\omega}{c}\right)^2\ll {\rm min}\left\{\frac{4\pi\sigma\omega}{c^2}; \frac{1}{\lambda^{2}}\right\}, \end{equation} \]
(19)

(iii) \( (\omega/c)\ll\l_E^{-1} \), what corresponds to the limit of well-developed superconductivity, and (iv) \( \omega/c\ll\xi^{-1} \). The above conditions also allow one to assume that inside the superconductor the magnetic field has only the nonzero component \( B^{\,}_y \) and, at the same time, go beyond the Leontovich boundary conditions (see, \( e.g. \), Ref.[47]) by considering the component \( E^{\,}_z \) of electric field, which induces the charge imbalance potential \( \tilde\Phi \) inside the sample and gives rise to the photogalvanic phenomena. Solving the Ginzburg-Landau and Maxwell equations, we find that for \( z>0 \)

\[ \begin{equation} \tilde\Phi=\frac{i\omega l_\Phi B^{\,}_0\sin\theta}{2\pi\sigma} \exp\left(ik\sin\theta x - \frac{z}{l^{\,}_\Phi}\right). \end{equation} \]
(20)

Then solving Eq. (15) perturbatively with respect to the wave amplitude \( B^{\,}_0 \), substituting the solution to the expression for the superconducting current (16), and, finally, integrating the resulting expression over \( z \), we obtain the second order (in \( B^{\,}_0 \)) contributions to the total current density \( I^{\,}_x=\int\limits_0^\infty j^{\,}_{sx}(z)dz \) in the form \( I^{\,}_{x}=I_{x}^{(0)}+I_{x}^{(\omega)}+I_{x}^{(2\omega)} \).

Here the first component is the dc current corresponding to the photon drag effect:

\[ \begin{multline} I_x^{(0)}= \frac{\nu}{\sqrt{2}\pi}\frac{\xi}{\tau}\frac{B_0^2\sin\theta}{H_{cm}} \frac{\omega\tau}{\left(1+\omega^2\tau^2\eta^2\right)}\times {\rm Re}\left(\frac{i\sqrt{1+i\omega\tau\eta}}{\left(2-i\omega\tau\right)}\right), \end{multline} \]
(21)

where \( \eta=l_E^2/\xi^2 \), and \( H^{\,}_{cm}= \Phi_0/(2\sqrt{2}\pi\xi\lambda) \) is the thermodynamic critical field. The term \( I_{x}^{(\omega)} \) stands for the usual linear response contribution, while the contribution \( I_{x}^{(2\omega)} \) describes the second harmonic response, which oscillates at \( 2\omega \) frequency:

\[ \begin{multline} I_x^{(2\omega)}= \frac{\nu}{\sqrt{2}\pi}\frac{\xi}{\tau}\frac{B_0^2\sin\theta}{H_{cm}} \times {\rm Re}\left( \frac{i\omega\tau e^{2ik\sin\theta x-2i\omega t}}{\left(2-i\omega\tau\right)\left(1-i\omega\tau\eta\right)^{3/2}}\right). \end{multline} \]
(22)

Both expressions for the current given above strongly depend on frequency, with the characteristic frequency scale \( \tau^{-1} \). For rather large frequencies \( \omega\tau\gg 1 \), the superconducting contribution to the rectified current becomes suppressed, and we get a crossover from the superconducting to normal-metal state. Note that this crossover occurs for frequencies \( \hbar\omega<2\Delta \), which can be still in the range of validity of the TDGL theory.

It is interesting to address the relation between our mechanism of current rectification and the mechanisms of the surface photogalvanic effect (SPGE) and photon drag effect (PDE) known in nonsuperconducting systems[48, 49]. This relation does not appear so obvious due to the specific physics underlying the second-order nonlinear effects in superconductors. Let us consider this issue in more detail. The current in Eq. (21) does contain the factor \( \sin\theta \), which means that we can rewrite the current in the form \( j_x\sim {k}_x |E|^2 \) (the factor \( \omega/c \) can also be extracted from Eq. (21). This fact seems to indicate a close relation of our effect to the PDE. On the other hand, the expression \( j^{\,}_x\sim E^{\,}_xE_z^* \), typical for the SPGE current is also relevant, since the strong reflection of the electromagnetic wave from the metallic surface and resulting approximate Leontovich boundary condition make the electric field vector inside the superconductor almost parallel to the surface, giving us again the factor \( \sin\theta \) mentioned above. Considering a different polarization of the incident electromagnetic wave, \( i.e. \), taking \( s \)-polarization with the electric field vector perpendicular to the plane of incidence, we also cannot clearly distinguish between the possible analogies of our effect in nonsuperconducting systems. Indeed, in this case our mechanism gives zero rectified current, since the charge imbalance potential is not generated for this geometry. In this sense, the suppression of the effect is analogous to the suppression of the SPGE in non-superconducting systems[49]. On the other hand, one can see that the time-averaged Hall current, which underlies the PDE also vanishes in this case due to the compensation of the magnetic field components perpendicular to the surface in the incident and reflected waves. Still, the analogy of our effect to the PDE looks more promising in view of the fact that both the rectified supercurrent calculated in our work and the Hall effect in superconductors are governed by the imaginary part of the relaxation constant in the TDGL theory. Nevertheless, we cannot insist on this analogy in the absence of a full microscopic analysis of the rectification mechanism. We should also note that the particular mechanism of SPGE[49], which assumes the interband transitions and diffusive scattering of electrons, clearly cannot be applied for the case of supercurrent rectification. To sum up, at the moment we consider the analogy with the ac Hall effect and PDE to be more relevant, though we believe that only further studies on the basis of microscopic theory may help to classify the studied effect correctly.

Experimentally, the above photon drag effect can be measured, \( e.g. \), by embedding the superconducting sample into a conducting loop where the generation of the optically controlled current should be accompanied by the changes of the magnetic flux trapped inside the loop. At the same time, the second harmonic response can be detected by analyzing the spectrum of reflected electromagnetic waves.

Inverse Faraday effect in superconducting disk

Somewhat similar situation is realized in a thin superconducting disc of the radius \( R \) and thickness \( d \) (considered to be much less than the London penetration depth \( \lambda \)) irradiated by a circularly polarized wave, which propagates perpendicular to the disk surface (see Figure 1), with an electric field acting on electrons inside the superconductor given by \( {\bf E}=E^{\,}_0 \ {\rm Re}\left[({\bf e}^{\,}_x+i{\bf e}^{\,}_y)e^{-i\omega t}\right] \). Here we choose the origin of the coordinate system with the in-plane axes \( x \) and \( y \) in the disk center)[1, 6]. Although the electric field is parallel to the disk surface, it obviously has a nonzero projection normal to the disk edge. According to the above analysis, this gives rise to the charge imbalance potential and, therefore, to the generation of a circulating dc current. Further calculations of the charge imbalance potential are based on Eq. (17) and thus we generalize here the results of Ref.[1] for arbitrary ratios \( l^{\,}_E/R \).

Figure 1
Illustration of the inverse Faraday effect in a thin superconducting disk irradiated by the circularly polarized wave. The photoinduced circulating dc current \( {\bf j}^{(0)}_{{\rm ph}, \varphi} \) creates the magnetic moment of the disk.

Solving the Ginzburg-Landau equation together with the boundary condition at the edge of the disk

\[ \begin{equation} \left(\partial_\rho\tilde{\Phi} + E_\rho\right)^{\,}_{\rho = R} = 0 \end{equation} \]

(here we use the polar coordinates \( \rho \) and \( \varphi \)), we find that \( \tilde{\Phi} = -E^{\,}_0 R f\left(q^{\,}_2, \rho\right) \), where

\[ \begin{equation} f\left(q, \rho\right) = \frac{J^{\,}_1\left(q\rho\right)}{qR J^{\,}_0\left(q R\right) - J^{\,}_1\left(q R\right)}, \end{equation} \]
(23)

\( q_2^2 = - l_\Phi^{-2} \) (we choose \( {\rm Im}~q^{\,}_2>0 \)), \( J^{\,}_0 \) and \( J^{\,}_1 \) are the Bessel functions. Then solving Eq. (15) perturbatively with respect to the wave amplitude \( E^{\,}_0 \), substituting the solution to the expression for the superconducting current (16), and considering the contribution at zero frequency, we obtain the expression for the azimuthal component of the dc photoinduced current:

\[ \begin{equation} j_{{\rm ph},\varphi}^{(0)} = j^{\,}_0 \frac{1}{\omega \tau}\frac{R}{\xi} \frac{2l_E^2}{(2l_E^2 - \xi^2)} \times {\rm Re}\left\{ \bigg(f\left(q_1, \rho\right) - f\left(q_2, \rho\right)\bigg)\left(1 - \frac{R}{\rho} f\left(q_2^*, \rho\right)\right) \right\}, \end{equation} \]

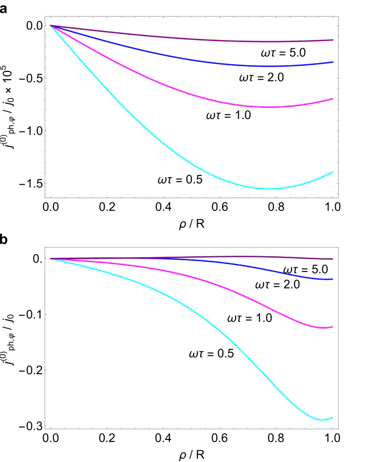
where \( j^{\,}_0 = 4 e^3 \Delta_0^2 E_0^2 \tau^3\nu / (\pi \alpha^{\,}_0\xi m_0^2 ) \) and \( q_1^2 = i\omega\tau/\xi^2 - 2/\xi^2 \) [we choose \( {\rm Im}~q^{\,}_1> 0 \)]. Typical current density profiles for different disk radii are shown in Figure 2.

Figure 2
Dependence of the azimuthal dc photocurrent on the distance from the disk center for \( R=0.1\xi \) (panel a) and \( R=3\xi \) (panel b), \( l^{\,}_E/\xi = 1/\sqrt{5.79} \) and different values of the normalized frequency \( \omega\tau \).

The circulating dc current creates a time-independent magnetic moment

\[ \begin{equation} M^{\,}_{\rm ph} = \frac{d}{c} \int\limits_{0}^{R} j_{{\rm ph},\varphi}^{(0)} \pi\rho^2 d\rho. \end{equation} \]

The generation of such magnetic moment by the circularly polarized electromagnetic wave is, in fact, a manifestation of the inverse Faraday effect. In the limit of small disks (\( R \ll \xi \)) one finds:

\[ \begin{equation} M^{\,}_{\rm ph} = M^{\,}_0 \left\{ \begin{aligned} & -\frac{11}{256} \left (\frac{R^2}{l^{\,}_{E}\xi}\right)^2 \frac{1}{\omega\tau}, & \omega \tau \ll \left (\frac{\xi}{R} \right ) ^2\\ & \frac{2}{(\omega \tau)^3} \left (\frac{\xi}{R}\right )^2, & \omega \tau \gg \left ( \frac{\xi}{R} \right )^2 \end{aligned} \right. , \end{equation} \]
(24)

where \( M^{\,}_0 = \left(j^{\,}_0 R d/c\right) \pi R^2 \left(R/\xi\right) \). This photoinduced magnetic moment will, of course, be partially screened by dc Meissner currents. We omit this effect, assuming the disk radius \( R \) to be much smaller than the effective screening length \( \lambda^2/d \).

In addition, one can find the radial dc photocurrent \( j_{{\rm ph}, \rho}^{(0)} \) in full analogy with the calculation of the azimuthal one. This current has nonzero divergence and it should be compensated by another current in order to prevent the time-dependent charge accumulation. In superconductors, the compensating mechanism arises from the inhomogeneous distribution of the zero-frequency superconducting phase \( \chi^{(0)}(\rho) \). In case of a thin superconducting disk this phase can be obtained from the equation

\[ \begin{equation} \frac{4 \pi \lambda^2}{c} j_{{\rm ph}, \rho}^{(0)} + \frac{\hbar c}{2 e} \nabla \chi^{(0)} = 0. \end{equation} \]

Thus, the superconducting phase difference arising between the center and the edge of the disk opens the way for using such a system as a phase battery[43, 44].

Interaction of superconductor with structured light

Another interesting situation occurs in superconductors irradiated with so-called twisted light, which can be realized in Bessel or Laguerre-Gaussian beams[50-54]. The key feature of twisted light is its non-zero orbital momentum, which can be transferred to electrons in conductive media[21]. We consider the interaction of a Bessel beam characterized by an angular momentum \( L \) with a bulk superconductor occupying the half-space \( z > 0 \). Below we show that the induced photocurrent contains contributions from both the inverse Faraday effect due to the polarization rotation, and the photon drag effect due to the transfer of orbital momentum.

Let us remind that a Bessel beam is defined as a superposition of plane waves with wave vectors \( \bf k \) lying on a cone with a fixed angle \( \vartheta \) to the propagation axis \( z \). The magnetic field of the Bessel beam in vacuum can be written as follows

\[ \begin{multline} \mathbf{H}^{(e)} = \left(% \begin{array}{c} H_\rho^{(e)} \\ [1mm] H_\varphi^{(e)} \\ [1mm] H_z^{(e)} \end{array}% \right) = \frac{B_0}{2} e^{-i\omega t + ik^{\,}_z z + i{L}\varphi} \times \\ \quad\quad\quad\quad \left(% \begin{array}{c} - J^{\,}_{{L}+1}(\kappa \rho) o^{\,}_- - J^{\,}_{{L}-1}(\kappa \rho) o^{\,}_+ \\ [1mm] ~i J^{\,}_{{L}+1}(\kappa \rho) o^{\,}_- - i J^{\,}_{{L}-1}(\kappa \rho) o^{\,}_+ \\ [1mm] -2b \sin\vartheta J_{L}(\kappa \rho) \end{array}% \right), \end{multline} \]
(25)

where \( \kappa = k \sin \vartheta \), \( o^{\,}_\pm = a \pm i b \cos\vartheta \), and \( a \) and \( b \) are the components of a mixed polarization unit vector of the plane waves forming the beam, corresponding to the contributions of \( p \)- and \( s \)-polarizations.

Using Maxwell equations inside the bulk superconductor in the low-frequency limit (19) and taking into account the reflected wave (assuming reflection coefficients for \( p \)- and \( s \)-polarizations \( r_\parallel, r_\perp \approx 1 \)) and the continuity of the tangential component of the magnetic field at the boundary \( z = 0 \), we can neglect the \( z \)-component of the magnetic field and obtain the field inside the superconducting half-space:

\[ \begin{multline} \mathbf{H}^{(i)}= B^{\,}_0 e^{-i\omega t + i{L} \varphi} e^{-z/\lambda^{\,}_{\rm eff}} \times \\ \left(% \begin{array}{c} -J^{\,}_{{L}+1}(\kappa \rho) o^{\,}_- - J^{\,}_{{L}-1}(\kappa \rho) o^{\,}_+ \\ [1mm] ~iJ^{\,}_{{L}+1}(\kappa \rho) o^{\,}_- - iJ^{\,}_{{L}-1}(\kappa \rho) o^{\,}_+ \\ [1mm] 0 \end{array}% \right), \end{multline} \]
(26)

where

\[ \begin{equation} \frac{1}{\lambda_{\rm eff}^{2}} = \frac{1}{\lambda^{2}} \left(1 - i\omega\tau \frac{l_E^2}{\xi^2}\right). \end{equation} \]

Next, by analogy with the previous sections, one can obtain the charge imbalance potential \( \tilde{\Phi} \), the gap function \( \Delta \), and therefore, the dc photocurrent, which contains azimuthal, radial and vertical components. For example, the expression for the azimuthal dc photocurrent takes the form:

\[ \begin{multline} j^{(0)}_{{\rm ph}, \varphi} = \frac{\nu B_0^2 \omega\sin\vartheta}{\sqrt{2} \pi H^{\,}_{cm}} \frac{\xi}{\lambda (\xi^2-2 l_{E}^2)} {\rm Re} \left\{i \lambda_{\rm eff}^* \left(\frac{e^{iq^{\,}_1 z}}{q^{\,}_1} - \frac{e^{iq^{\,}_2 z}}{q^{\,}_2} \right) \right. \\ \times \left. \left(ab^* \cos\vartheta \frac{J_{L}(\kappa\rho)}{\kappa}\frac{\partial J_{L}(\kappa \rho)}{\partial\rho} + \frac{i{L}|a|^2}{\kappa \rho}J^2_{{L}}(\kappa \rho)\right) \right\}, \end{multline} \]
(27)

where the expressions for the values \( q^{\,}_1 \) and \( q^{\,}_2 \) are the same as in the previous subsection.

One sees that Eq. (27) contains two contributions. The term proportional to \( \kappa^{-1} J^{\,}_{L}(\kappa \rho) (\partial J^{\,}_{L}(\kappa \rho)/\partial\rho) \) requires the presence of both \( p \)- and \( s \)-polarizations and can be viewed as a manifestation of the inverse Faraday effect. The term proportional to \( \left({L}/\kappa \rho\right)J^2_{{L}}\left(\kappa \rho\right) \) is antisymmetric under the transformation \( {L} \to -{L} \) and originates from the photon drag effect.

It should be mentioned that, since the generation of the charge imbalance potential \( \tilde{\Phi} \) requires the presence of an electric field component perpendicular to the sample surface, the plane waves forming the beam must have a \( p \)-polarization contribution.

The photoinduced dc current is screened by the Meissner current \( {\bf j}^{(0)}_{M} \), which cancels the dc magnetic field \( {\bf B}^{(0)} \) inside the superconductor at the distance of the London penetration depth \( \lambda \) from the surface \( z = 0 \). Besides that, as was mentioned above for the case of a disk, since dc photocurrents have nonzero divergence, they should be compensated by an inhomogeneous superconducting phase \( \chi^{(0)} \). All these dc currents and the magnetic field can be obtained from the electrodynamic system of equations:

\[ \begin{equation} \left\{\begin{array}{l}{ \displaystyle {\rm curl~} {\rm curl~}{\bf A}^{(0)} = \frac{4\pi}{c}\left({\bf j}_{M}^{(0)}+{\bf j}_\text{ph}^{(0)}\right), }\\{}\\{ \displaystyle \frac{4\pi \lambda^2}{c} {\bf j}_{M}^{(0)}=- \mathbf{A}^{(0)} +\frac{\hbar c}{2e} \nabla\chi^{(0)}\ ,} \end{array}\right. \end{equation} \]
(28)

where \( {\rm curl~}\mathbf{A}^{(0)} = \mathbf{B}^{(0)} \).

Detailed calculations performed in a recent paper[8] show that the presence of the screening Meissner current leads to the total compensation of the magnetic moment created by the dc photocurrent, so that the resulting magnetic moment is zero. At the same time, the components of the dc magnetic field \( {\bf B}^{(0)} \) are nonzero and can be measured experimentally. Typical spatial profiles of the \( z \)-component of the dc magnetic field are shown in Figure 3.

Figure 3
Magnetic field profile \( B^{\,}_z(x,y) \). Here we put \( \lambda/\xi = 2 \), \( \ell^{\,}_E/\xi = 1/\sqrt{5.79} \), \( \omega\tau=1 \), \( B'=4\pi\nu B_0^2/\sqrt{2} H^{\,}_{\rm cm} \). The values \( a=1/\sqrt{2}, b=i/\sqrt{2}, l=2 \) are used.

Conclusion

To sum up, we have presented a review of our recent works on the phenomenological description of the mechanisms of second-order nonlinear response of superconductors irradiated by electromagnetic waves in the microwave and THz frequency range. The resulting rectification effect for electromagnetic radiation of different polarization and orbital momenta is shown to give rise to dc photocurrents, magnetic moments and magnetic fields, as well as provides the possibility to realize the setup with the dc superconducting phase differences tuned by electromagnetic radiation. This photoinduced phase battery effect can be exploited, \( e.g. \), in multiply connected geometries for switching between the superconducting states with different vorticities. The effect of photoinduced switching between vortex states according to the above mechanisms provides a convenient tool for superconducting optofluxonics allowing one to manipulate the magnetic flux trapped inside the loop, which is promising for applications in the devices of the rapid single-flux quantum logics.

Acknowledgements

This work was supported by the Russian Science Foundation (Grant No. 25-12-00042) in part of the analysis of the effects caused by the charge imbalance potential, by the Grant of the Ministry of science and higher education of the Russian Federation No. 075-15-2025-010 in part of the study of superconductors with intrinsic diode effect, and by MIPT Project No. FSMG-2023-0014 in part related to the interaction of superconductors with structured light. S. V. M. and M. V. K. also acknowledge the financial support of the Foundation for the Advancement of Theoretical Physics and Mathematics BASIS (Grant No. 23-1-2-32-1).

Contact information

Corresponding author: Sergey V. Mironov

orcid.org/ 0000-0001-5378-6105

e-mail svmironov@ipmras.ru.

Competing Interests

The authors declare no competing financial or non-financial interests.

References

1.
Inverse Faraday Effect for Superconducting Condensates
Mironov S. ., Mel’nikov A. ., Tokman I. ., Vadimov V., Lounis B., Buzdin A. .
Physical Review Letters, 2021
2.
All-optical generation of Abrikosov vortices by the inverse Faraday effect
Plastovets V.D., Tokman I.D., Lounis B., Mel'nikov A.S., Buzdin A.I.
Physical Review B, 2022
4.
Helicity-controlled switching of superconducting states by radiation pulse
Croitoru M.D., Lounis B., Buzdin A.I.
Applied Physics Letters, 2023
5.
Inverse Faraday Effect in Superconductors with a Finite Gap in the Excitation Spectrum
Putilov A.V., Mironov S.V., Mel’nikov A.S., Bespalov A.A.
JETP Letters, 2023
6.
ac Hall Effect and Photon Drag of Superconducting Condensates
Mironov S. ., Mel’nikov A. ., Buzdin A. .
Physical Review Letters, 2024
7.
Photogalvanic phenomena in superconductors supporting intrinsic diode effect
8.
Superconducting photocurrents induced by structured electromagnetic radiation
Zuev O.B., Kovalenko M.V., Mel'nikov A.S.
Physical Review B, 2025
10.
Spin-Photogalvanics
Ivchenko E.L., Ganichev S.D.
Springer Series in Solid-State Sciences, 2017
13.
Second Harmonic Generation due to the Spatial Structure of a Radiation Beam
Gunyaga A. ., Durnev M. ., Tarasenko S. .
Physical Review Letters, 2025
14.
Optical orientation of electrons in semiconductors
Perel V. I., Pinsky Ya. M.
1973
16.
Drag effect at light reflection from the surface
Normantas E., Pikus G. E.
1985
17.
Rectification of AC Electric Current at the Edge of 2D Electron Gas
Durnev M.V., Tarasenko S.A.
Physica Status Solidi (B): Basic Research, 2020
20.
Photoinduced currents in graphene and carbon nanotubes
Ivchenko E.L.
Physica Status Solidi (B): Basic Research, 2012
21.
Photocurrents induced by structured light
Gunyaga A.A., Durnev M.V., Tarasenko S.A.
Physical Review B, 2023
22.
Quantum printing and induced vorticity in superconductors I: Linearly polarized light
Yeh T., Yerzhakov H., Bishop-Van Horn L., Raghu S., Balatsky A.
Physical Review Research, 2025
23.
Quantum printing and induced vorticity in superconductors II: Laguerre-Gaussian beam
Yeh T., Yerzhakov H., Horn L.B., Raghu S., Balatsky A.
Physical Review Research, 2025
24.
RSFQ logic/memory family: a new Josephson-junction technology for sub-terahertz-clock-frequency digital systems
26.
A Superconducting Reversible Rectifier That Controls the Motion of Magnetic Flux Quanta
Villegas J.E., Savel'ev S., Nori F., Gonzalez E.M., Anguita J.V., García R., Vicent J.L.
Science, 2003
27.
Observation of superconducting diode effect
Ando F., Miyasaka Y., Li T., Ishizuka J., Arakawa T., Shiota Y., Moriyama T., Yanase Y., Ono T.
Nature, 2020
28.
The superconducting diode effect
Nadeem M., Fuhrer M.S., Wang X.
Nature Reviews Physics, 2023
29.
Intrinsic Superconducting Diode Effect
Daido A., Ikeda Y., Yanase Y.
Physical Review Letters, 2022
30.
A phenomenological theory of superconductor diodes
He J.J., Tanaka Y., Nagaosa N.
New Journal of Physics, 2022
31.
The Ginzburg - Landau equation for superconductors of polar symmetry
32.
Magnetoelectric Effect in Polar Superconductors
33.
Currents Induced by Magnetic Impurities in Superconductors with Spin-Orbit Coupling
Pershoguba S.S., Björnson K., Black-Schaffer A.M., Balatsky A.V.
Physical Review Letters, 2015
35.
Electric Forces in a Transparent Dispersive Medium
Pitaevskii L. P.
1961
37.
Photogalvanic transport in fluctuating Ising superconductors
Parafilo A.V., Boev M.V., Kovalev V.M., Savenko I.G.
Physical Review B, 2022
39.
Second-harmonic generation in fluctuating Ising superconductors
Sonowal K., Parafilo A., Boev M., Kovalev V.M., Savenko I.
2D Materials, 2023
42.
Supercurrent diode effect in helical superconductors
Hasan J., Shaffer D., Khodas M., Levchenko A.
Physical Review B, 2024
43.
Chirality-controlled spontaneous currents in spin-orbit coupled superconducting rings
44.
Nonequilibrium Superconductivity
Aronov A. G., Gal'perin Yu. M., Gurevich V. L., Kozub V. I.
1986
45.
Nonlinear microwave response of clean superconducting films
46.
Fluctuation-mediated inverse Faraday effect in superconducting rings
Plastovets V., Buzdin A.I.
Physics Letters, Section A: General, Atomic and Solid State Physics, 2023
47.
Landau L. D., Lifshitz E. M.
1984
48.
Photogalvanic effects investigation in gallium arsenide
Alperovich V.L., Belinicher V.I., Novikov V.N., Terekhov A.S.
Ferroelectrics, 1982
50.
Orbital angular momentum of light and the transformation of Laguerre-Gaussian laser modes
Allen L., Beijersbergen M.W., Spreeuw R.J., Woerdman J.P.
Physical Review A, 1992
51.
Structured light
Forbes A., de Oliveira M., Dennis M.R.
Nature Photonics, 2021
52.
IV The Orbital Angular Momentum of Light
Allen L., Padgett M.J., Babiker M.
Progress in Optics, 1999
53.
Twisted photons
Molina-Terriza G., Torres J.P., Torner L.
Nature Physics, 2007